University Immunization Rate in Indiana
2001 Assessment Results
School Reports | Immunization Index | Data and Statistics
Previous Page | Contents | Next Page
| Measeles (%) |
Mumps (%) |
Rubella (%) |
Tetanus (%) |
Diphtheria (%) |
|
|---|---|---|---|---|---|
| Number of Students with Complete Vaccine Record | 2,387 (94.5) |
2,451 (97.1) |
2,450 (97.0) |
2,311 (91.5) |
2,308 (91.4) |
| Number of Students with Disease History | 10 | 15 | 0 | 0 | |
| Number of Students with Documented Laboratory Immunity | 23 | 19 | 27 | 0 | 0 |
| Number of Students Born Before January 1, 1957 | 23 | 23 | 23 | ||
| Number of Students with Medical Exemptions | 26 | 26 | 26 | 26 | 26 |
| Number of Students with Religious Exemptions | 2 | 2 | 2 | 2 | 2 |
| Number of Students with temporary exemption due to Td shortage | 129 | 129 | |||
| Total Number of Students in Compliance* | 2,471 (97.9) |
2,536 (100.4) |
2,528 (100.1) |
2,468 (97.7) |
2,465 (97.6) |
* Some students may have been included in more than one compliance category.
Total Number of Students Who Received a Notice of Exclusion from Second Semester Enrollment for Failure to Comply with Immunization Policy: 71 (2.8%)
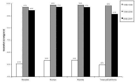
Figure 4. Indiana State
University. Percent of students completely vaccinated, previous three school
years.

School Reports | Immunization Index | Data and Statistics
Previous Page | Contents | Next Page